File:PPIIMoL Fig1.jpg
Original file (1,280 × 1,112 pixels, file size: 178 KB, MIME type: image/jpeg)
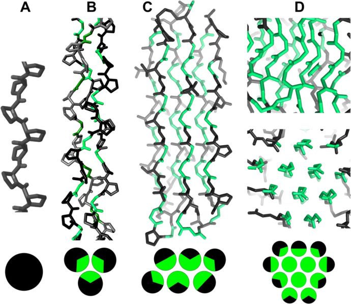
Figure 1. Proline and Glycine Rich Sequences Adopt Polyproline II Helices
A. Polyproline peptides adopt isolated polyproline II helices in aqueous solution.
B. Substituting every third proline residue (black) for glycine (green) allows three chains to associate to form triple polyproline II helical structure of collagen.
C. Swapping of additional prolines by glycine permits proteins with two layers of polyproline II helices to form, such as snow flea antifreeze proteins.
D. Substitution of all proline residues (shown in black) by glycine (colored green) gives rise to a multilayered “honeycomb” of polyproline II helices, such as that seen in peptides composed of just glycine 53 and Human Anaplastic Leukemia Kinase64.
File history
Click on a date/time to view the file as it appeared at that time.
| Date/Time | Thumbnail | Dimensions | User | Comment | |
|---|---|---|---|---|---|
| current | 09:47, 14 August 2025 | 1,280 × 1,112 (178 KB) | SilviaRodriguez (talk | contribs) |
You cannot overwrite this file.
File usage
The following page uses this file: